合作客戶/
拜耳公司 |
同濟大學 |
聯合大學 |
美國保潔 |
美國強生 |
瑞士羅氏 |
相關新聞Info
推薦新聞Info
-
> 不同礦漿濃度、粒度、伴生礦物、捕收劑和起泡劑對礦漿表麵張力的影響(三)
> 不同礦漿濃度、粒度、伴生礦物、捕收劑和起泡劑對礦漿表麵張力的影響(二)
> 不同礦漿濃度、粒度、伴生礦物、捕收劑和起泡劑對礦漿表麵張力的影響(一)
> 長慶油田隴東地區的CQZP-1助排劑表/界麵張力測量及現場應用(三)
> 長慶油田隴東地區的CQZP-1助排劑表/界麵張力測量及現場應用(二)
> 長慶油田隴東地區的CQZP-1助排劑表/界麵張力測量及現場應用(一)
> 液膜斷裂點與電壓最大值在表麵張力測量中的對比研究(二)
> 液膜斷裂點與電壓最大值在表麵張力測量中的對比研究(一)
> 表麵張力與表麵張力係數測量:概念、方法與科學意義
> 微重力下二極對非均勻旋轉磁場控製半浮區液橋表麵張力對流的數值研究(下)
為什麽潑在地上的水很快就幹了,而洗完的衣服卻不容易晾幹?
來源:萌鐵蛋 MnFeN 瀏覽 2058 次 發布時間:2021-08-28
化學熱力學化學動力學方麵就不說了,說一個不太一樣的。為什麽潑在地上的水很快就幹了,而洗完的衣服卻不容易晾幹?並不是由於比表麵積不同,衣服就隻是一層布料,比表麵積同樣很大。而是因為液滴的蒸氣壓與它表麵的曲率半徑有關。這一關係由開爾文方程描述:
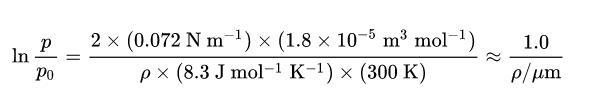
聽說公式會讓人不想看科普所以我隻講這一個公式好了(x)其中,R是通用氣體常量,T是溫度,ρ是液滴表麵的曲率半徑。p₀是表麵平整的液體原本的蒸氣壓,p是這個液滴的蒸氣壓。p₀、表麵張力γ、液體摩爾體積V_m對於同種溫度的同種液體可以認為近似是常量。把以上常量合並為常量C,所以在同樣溫度下,對於同種液體,可以得出如下的半定量關係:
即:
對於潑在地上的水,表麵幾乎平整,曲率半徑近似無窮大,上式的冪趨近於0,指數項趨近於1,所以蒸氣壓就等於純水的蒸氣壓(p=p₀)。而下圖展示的是一個表麵的縱切圖,左側是桌麵上的一個水滴,中間是桌麵上一個凹陷裂縫中的水,右側是類似牆角、桌角等地方的積水。
對於桌麵上的一個小水滴,表麵凸出,曲率半徑為正值,上式的冪為正,指數項大於1,即p>p₀,所以小水滴比相同比表麵積的純水具有更大的蒸氣壓,揮發得更快。而對於凹陷處的水,由於液體的表麵張力(類似毛細現象),它們會形成一個凹液麵,曲率半徑為負,所以上式的冪為負,指數項小於1,即p < p₀ ,所以凹陷處等位置的具有凹液麵的水比純水具有更小的蒸氣壓,揮發得更慢。回到晾衣服的問題:衣服布料的細小纖維中存在顯著的毛細現象,水會浸潤其中,並形成曲率半徑很小(負數,絕對值很小)的凹液麵,顯著降低了液體蒸氣壓,所以衣服並不容易被晾幹。
所以從上式分析:衣服怎麽樣能更快晾幹呢?對p有影響的物理量有:飽和蒸氣壓p₀,表麵張力γ,液體摩爾體積V_m,曲率半徑ρ,溫度T,氣體常量R。改變溫度:最簡單的烘幹衣服。注意溫度同時也改變了表麵張力、飽和蒸氣壓p₀等很多物理量,一舉多得……雖然這個解決辦法是廢話(x)改變表麵張力、摩爾體積、飽和蒸氣壓:這相當於改變液體的性質,換句話說是換了一種液體。雖然水洗是很難晾幹的,但是幹洗就利用了這個原理,更換了其它溶劑,蒸氣壓大幅提高,室溫下很快就揮發幹了。另外一些無機合成實驗中水溶液裏麵結晶出來的粉末產物先用酒精洗滌再用乙醚洗滌最後再幹燥也是這個原理(劃掉)改變曲率半徑ρ:曲率半徑取決於液體與衣服材質的浸潤程度,從而改變接觸角。如果選用不能很好地被水浸潤的布料,那麽表麵張力的作用就會被削弱,形成更平一些的凹陷表麵(曲率半徑的絕對值增大),從而使衣服中水的蒸氣壓提高,速幹衣物就利用了這一原理。
改變氣體常量R:把那個試圖修改宇宙規律的拖出去(x)
更新一下計算過程:以上公式代入了常溫下水的數據。由此可見,隻要隨著蒸發過程的進行,水滴曲率半徑μ的絕對值達到微米尺度,就可以顯著減小水滴的蒸氣壓。





