合作客戶/
拜耳公司 |
同濟大學 |
聯合大學 |
美國保潔 |
美國強生 |
瑞士羅氏 |
相關新聞Info
-
> 表麵張力估算法測定29種常見低芳淺色礦物油的溶解度參數——結果與討論、結論
> 不同助劑及濃度對IDK120-025型和LU120-015型噴頭霧化效果的影響(二)
> 不同溫度和壓力對AOT穩定CO2乳液的界麵張力影響(三)
> 表麵活性劑的應用
> 基於表麵張力測試儀研究表麵活性劑促進浮選精煤脫水的機理(三)
> 分析天平和微量天平的區別,微量天平可以摔壞嗎
> 納米TiO_2表麵性質和表麵活性劑對納米流體物性的影響
> NaOL、HZ組合捕收劑對鋰輝石礦物浮選效果、表麵張力影響(二)
> 基於粒徑、速度、表麵張力、黏度測定揭示塵粒−霧滴碰撞行為規律(四)
> 烷基化碳量子點表麵活性劑合成改性、表麵張力、穩泡及乳化性能(三)
推薦新聞Info
-
> 不同礦漿濃度、粒度、伴生礦物、捕收劑和起泡劑對礦漿表麵張力的影響(三)
> 不同礦漿濃度、粒度、伴生礦物、捕收劑和起泡劑對礦漿表麵張力的影響(二)
> 不同礦漿濃度、粒度、伴生礦物、捕收劑和起泡劑對礦漿表麵張力的影響(一)
> 長慶油田隴東地區的CQZP-1助排劑表/界麵張力測量及現場應用(三)
> 長慶油田隴東地區的CQZP-1助排劑表/界麵張力測量及現場應用(二)
> 長慶油田隴東地區的CQZP-1助排劑表/界麵張力測量及現場應用(一)
> 液膜斷裂點與電壓最大值在表麵張力測量中的對比研究(二)
> 液膜斷裂點與電壓最大值在表麵張力測量中的對比研究(一)
> 表麵張力與表麵張力係數測量:概念、方法與科學意義
> 微重力下二極對非均勻旋轉磁場控製半浮區液橋表麵張力對流的數值研究(下)
不同濃度6∶2氟調磺酸的表麵張力測定儀器及結果(一)
來源:岩礦測試 瀏覽 944 次 發布時間:2025-05-12
全氟和多氟烷基物質(PFAS)具有親水性功能團和疏水性烷基鏈,展現出優良的表麵活性、熱穩定性以及疏水疏油性,被廣泛應用於表麵活性劑、消防泡沫、農藥化學品和紡織品等多個領域。然而,大部分PFAS的生物降解性較低,可以在環境中持久存在,且其具有生物積累性,可能引發包括免疫毒性、遺傳毒性和致癌性在內的多種毒性效應。全氟烷基酸(PFAA)是研究最為廣泛的一類PFAS,已在環境介質和生物體內被頻繁檢出,且其中廣泛使用的全氟辛烷磺酸(PFOS)和全氟辛酸(PFOA)分別於2009年和2019年作為新興持久性有機汙染物被列入《斯德哥爾摩公約》,並被禁止或嚴格限製使用。因此,部分PFAA前體物作為PFOS的替代物被大量生產和使用,近些年被眾多學者所關注,如6∶2氟調磺胺甜菜堿(6:2 FTAB)和6∶2氟調磺酸等。已有研究表明,PFAA前體物能夠通過非生物或生物途徑轉化為半衰期更長、毒性更大的較穩定的PFAA,已成為地下水PFAS大規模汙染的主要間接來源。
6∶2氟調磺酸不僅是水成膜泡沫(AFFF)配方的直接添加組分,同時也是AFFF中其他PFAS,如6∶2氟調巰基烷基胺磺酸(6∶2 FtTAoS)和6∶2 FTAB在環境中的主要降解轉化產物。該物質表現出持久性與生態毒性,且在環境中廣泛分布,土壤作為其重要儲庫,能夠長期向地表水和地下水釋放汙染物。盡管在特定環境條件下,6∶2氟調磺酸可能發生部分降解,但其整體的環境持久性仍導致持續汙染風險。在消防訓練場地、生產基地及機場附近的土壤和地下水中,均已檢出6∶2氟調磺酸,在黃土高原的地下水中,主要檢測到的PFAA前體物也為6∶2氟調磺酸。
然而,目前尚未有對6∶2氟調磺酸明確的環境控製標準,其汙染源亦未得到有效阻斷,對地下環境的影響範圍持續擴大。因此,從保障飲用水安全和維護生態可持續性的角度出發,亟需對6∶2氟調磺酸的環境行為及其在包氣帶中的遷移規律進行深入的研究。目前,針對PFAA前體物的研究主要集中於其分析方法的開發、總量確定、空間分布特征、種類識別以及在多孔介質上的吸附和生物轉化等方麵,然而大多數研究仍處於初步探索階段,關於其環境行為的係統性研究相對較缺乏。已有研究指出,多孔介質的有機質含量、顆粒粒徑和含水率等因素顯著影響傳統PFAS的吸附和遷移特性。考慮到土壤作為環境中最重要的多孔介質體係之一,深入研究土壤理化性質對6∶2氟調磺酸遷移行為的調控機製顯得尤為重要。這一認識對於準確預測其環境歸趨及生態風險具有關鍵意義。
本研究旨在闡明6∶2氟調磺酸在土壤多相體係中的界麵行為及影響因素。通過表麵張力測定量化其表麵活性,結合飽和條件下的混相驅替實驗解析固-水界麵吸附特征,並利用非飽和條件下的柱實驗揭示氣-水界麵吸附對6∶2氟調磺酸滯留的關鍵作用。土壤樣品采自中國山東省青島市某農田的土壤剖麵,自然風幹後經幹篩法分級為40~50目和50~60目兩種粒徑組分,在飽和及非飽和條件下對比其遷移特征,明確土壤顆粒粒徑、有機質含量和含水率對6∶2氟調磺酸遷移的影響,為科學描述6∶2氟調磺酸在土壤中的歸趨、評估其環境風險及製定汙染控製策略提供理論依據。
1.實驗部分
1.1標準溶液和主要試劑
6∶2氟調磺酸(純度98%,CAS#27619-97-2)購自Macklin公司(中國),以0.01mol/L氯化鈉溶液為溶劑稀釋至目標濃度。作為實驗目標汙染物,用於研究其在特定條件下的遷移行為。
五氟苯甲酸(純度98%,CAS#602-94-8)標準品同樣由Macklin公司(中國)提供,在混相驅替柱實驗中的目標濃度為120mg/L,以0.01mol/L氯化鈉溶液為溶劑進行配製。作為所有柱實驗的非反應性示蹤劑(NRT),用於評估平流和分散過程對遷移的影響,排除化學反應對遷移影響的幹擾。
0.01mol/L氯化鈉溶液由超純水作為溶劑進行配製,作為6∶2氟調磺酸和五氟苯甲酸的統一溶劑,確保離子強度與背景電解質濃度的一致性,減少實驗變量,避免雜質幹擾目標汙染物的遷移與反應研究。
在受AFFF影響的地點以及附近的陸地和水生生態係統中,廣泛檢測到6∶2氟調磺酸,例如美國佛羅裏達州廷德爾空軍基地的地下水樣品中,氟調磺酸總濃度範圍為1100~14600µg/L,其中6∶2氟調磺酸占99%。在受汙染的土壤中,6∶2氟調磺酸的濃度最高可達2101µg/kg。結果表明,6∶2氟調磺酸在土壤和地下水中的濃度可達100µg/kg和100µg/L以上。本次柱實驗中使用的6∶2氟調磺酸輸入濃度為100µg/L,符合現場觀測的濃度範圍。
1.2實驗介質
本研究選用的兩種多孔介質分別為QD1(表層20~40cm土壤)和QD2(地下50~100cm深層土壤),均采自青島市嶗山區某農田。經過自然風幹後,將其篩分為40~50目和50~60目。實驗選用土壤中的金屬氧化物含量均較低,主要差異為有機質含量。土壤樣品的性質見表1。
表1土壤樣品性質
1.3表麵張力測試
測定不同濃度6∶2氟調磺酸的表麵張力,濃度為:0、0.001、0.01、0.1、0.5、1、5、10、20、50、80、100mg/L。控製樣品溫度為23±0.3℃左右,每組進行多次平行實驗,直到獲得三次及以上相近結果(偏差小於0.7%)。
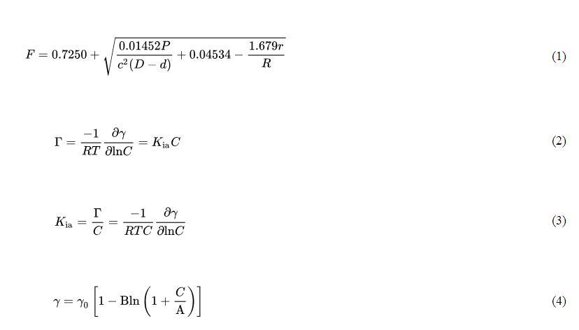
實際表麵張力(γ)由儀器表麵張力讀數(P)、校正因子(F)和實驗相關常數相乘得到。校正因子計算如公式(1)所示;氣-水界麵吸附係數通過Gibbs吸附等溫方程得到,見公式(2)和公式(3);將Szyszkowski方程應用於表麵張力數據,見公式(4),該方程提供了一種計算數值的統一方法。
式中:F為校正因子;P為刻度盤表麵張力示數(dyn/cm);c為鉑金圓環周長(cm);D為下層液體密度,即6:2氟調磺酸溶液密度(g/cm3);d為界麵上層密度,即空氣密度(g/cm3);r為鉑金絲半徑(cm);R為鉑金圓環半徑(cm)。Γ為表麵過剩(mol/cm3);R為理想氣體常數(erg/mol K);T為開氏溫度(K);γ為實際表麵張力(dyn/cm);C為6:2氟調磺酸溶液濃度(mol/cm3);Kia為氣-水界麵吸附係數(cm3/cm2)。γ0是6:2氟調磺酸在純水中的表麵張力,A和B分別是與特定化合物和相應係列性質有關的變量。采用最優擬合函數求得公式(3)所需的局部-斜率因子。





