合作客戶/
拜耳公司 |
同濟大學 |
聯合大學 |
美國保潔 |
美國強生 |
瑞士羅氏 |
相關新聞Info
-
> Delta-8調整表麵活性劑的質量比實現類似於帶電荷的聚合電解質-表麵活性劑混合體係的相分離(下)
> 界麵張力越大說明什麽
> 表麵活性劑的生物毒性以及水的硬度和吸附效應對於水生生物毒性的影響——實驗
> 極複雜問題背後的簡潔數學
> 應用不同組裝的磷脂酰膽堿對牛精漿蛋白的隔離——結果與討論
> 全自動宅男视频在线网站測量時遇到這些情況怎麽辦
> 水和乙二醇-水混合體係中的離子液體-陽離子表麵活性劑混合膠束自聚焦-電導法 表麵張立法和光譜研究法—
> 宅男视频在线网站用的什麽原理,是如何測量液體表麵張力的?
> 乳酸菌生物表麵活性劑的製備、表征及性質研究
> 酯功能化的雙子表麵活性劑與血紅蛋白的結合——材料和方法
推薦新聞Info
-
> 影響狹縫間氫鍵流體氣液平衡界麵張力的因素有哪些(三)
> 影響狹縫間氫鍵流體氣液平衡界麵張力的因素有哪些(二)
> 影響狹縫間氫鍵流體氣液平衡界麵張力的因素有哪些(一)
> GA、WPI和T80複合乳液體係的脂肪消化動力學曲線、界麵張力變化(四)
> GA、WPI和T80複合乳液體係的脂肪消化動力學曲線、界麵張力變化(三)
> GA、WPI和T80複合乳液體係的脂肪消化動力學曲線、界麵張力變化(二)
> GA、WPI和T80複合乳液體係的脂肪消化動力學曲線、界麵張力變化(一)
> 表麵張力實驗、接觸角實驗分析抑塵試劑對煤的潤濕結果
> Kibron宅男视频在线网站研究燒結礦聚結行為
> 基於界麵張力和表麵張力測試評估商用UV油墨對不同承印紙張的表麵浸潤性差異(三)
水滴的表麵張力使它盡量收縮從而形成球形
來源:知乎 賈明子 瀏覽 2752 次 發布時間:2021-06-21
從高處往下倒水,為什麽剛開始水是連成一條線的,往下就成了散開的水珠?有什麽方法能讓水一直保持一條線?
先說結論,這是因為所謂的“Plateau–Rayleigh”不穩定性。
然後,我再試圖用大家都能聽懂的白話解釋一下。這個過程中有一個關鍵的物理現象,叫做表麵張力。
表麵張力,宅男666网站簡單形象地理解,可以認為流體的兩相(如氣液)界麵就像是一張緊繃的皮膜,這張膜在外力的約束下,總是希望盡可能地收縮。沿著它的表麵就有一種張力,就是表麵張力。
如果你想用最形象的方式理解表麵張力,你可以想象一個吹起來的氣球的表麵:氣球的彈力使它盡量收縮從而整體形成球形。相對應地,水滴的表麵張力使它盡量收縮從而形成球形。
而這裏有一件非常關鍵的事請,就是由於表麵張力的存在,彎曲的表麵就會在兩側形成壓力差。就好像緊繃的氣球,其內部壓力要高於外部的壓力。這種壓力差來自哪裏?當然就是氣球皮膜緊繃的張力。由於氣球的彎曲表麵,使得其張力最終表現為內部壓力的升高。
具體講,宅男666网站對一個這樣無重力液滴做出分析,它的上半球受力受到三個力的作用:
1、內部液體在截麵上對它的淨壓力;
2、外部在上半球麵上對它的淨壓力
3、液滴表麵受到的沿表麵垂直於“斷麵”的表麵張力。
宅男666网站很容易就會看到,由於表麵張力的存在,此時內部的壓力肯定要大於外部壓力。那麽,這種壓力差的大小是由什麽決定的呢?
很顯然,一個決定因素就是張力的大小:皮膜繃的越緊,所能產生的壓力差就越大。但是還有另一個很重要的因素,就是表麵彎曲的程度,也就是它的曲率。宅男666网站還是用氣球做一個說明,例如下麵這個氣球:
氣球內部的氣體壓力處處相等,但是,接觸過這種氣球的人都有一個經驗,就是粗的地方繃得緊,而細的地方繃得就不那麽緊。如上圖所示,繃得緊的地方和繃得鬆的地方,產生的壓力差是相等的,但是他們的曲率是不相等的:曲率越大,同樣的張力所能產生的壓力差就更大。
宅男666网站有一個公式可以表示這個關係,叫做楊-拉普拉斯方程(Young-Laplace equation):
其中,γ是表麵張力,R1和R2分別是兩個方向上的曲率半徑。
那麽,宅男666网站來看看細流的水柱為何會分散成水滴:這是因為連續的水柱狀態是不穩定的,而水滴的狀態才是穩定的。比如說,下圖是一個細流柱:
宅男666网站知道,宅男666网站的環境中總是存在著各種幹擾,不論宅男666网站如何隔離,都不可能消除它:因為水柱自身就存在各種漲落。因此,這個水柱不可能是嚴格的圓柱形,它上麵總是有各種“皺紋”的。事實上,現實中的擾動非常之複雜,宅男666网站不可能做出具體的分析,但是,宅男666网站總是可以把這些擾動看做是一係列正弦波的疊加(傅裏葉分解),那麽,宅男666网站通過對這些正弦波的分析,可以分析出這些幹擾的基本特征。如下圖,一個被正弦波幹擾的水柱呈這個形狀:
宅男666网站可以看到,在不同的地方,柱麵的曲率都發生了變化,這種變化和表麵張力一起,就導致了水柱當中不同地方內部壓力的變化。那麽,宅男666网站如何判斷這種影響呢?宅男666网站說,如果A點(柱半徑縮小的地方)的壓力上升,B點壓力下降,那麽:
在壓力差下,流體從A點流向B點,
流動導致A點進一步縮小,B點進一步增大
進而,A點壓力更加增加,B點的壓力更加減小
流動更加快速
……
如此循環,A點處迅速縮成0,從而崩解,也就是說,這是一種正反饋,表麵張力的作用會擴大擾動,水柱不複存在。
但是,如果發生的情況相反,也就是說,擾動導致B點壓力上升,A點壓力下降,那麽,水就會從B點流向A點,這是一種負反饋,表麵張力的作用會抑製擾動,水柱就能維持穩定。
那麽,這種擾動到底會是一種正反饋,還是負反饋呢?宅男666网站來具體分析兩點的壓力變化:
在A點,z方向上產生了負曲率(半徑RA),而r方向上,由於半徑變小,曲率變大。也就是說,A點上的曲率變化產生了兩個效果:
柱麵的正弦波導致負曲率,使得A點的壓力下降;
截麵的半徑變小,導致A點壓力上升。
同理,宅男666网站也可以看到,在B點,兩個效應是相反的:
柱麵正弦波導致正曲率,使得B點壓力上升;
截麵半徑增大,導致B點壓力下降。
也就是說,擾動導致的z方向上的正弦波曲率將會升高B點壓力,降低A點壓力,導致負反饋,水柱穩定;而擾動導致水柱粗細的變化,將會升高A點壓力,降低B點壓力,導致正反饋,水柱崩解。
從直觀上宅男666网站立刻就知道,如果水柱很細,那麽截麵上的曲率很大,它的影響會顯著大於正弦波的影響,那麽就會是正反饋,水柱崩解;反之,如果水柱很粗,那麽截麵上曲率很小,起到關鍵作用的將會是正弦波造成的曲率,那麽就會是負反饋,水柱穩定。
這就是為何細水柱不穩定的原因。
那麽,水柱到底多細,才會不穩定呢?下麵宅男666网站來簡單計算一下:
假定擾動所導致正弦波的形式如下:
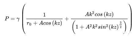
這裏,是未受到擾動的水柱半徑,A表征擾動的大小,而k是波數,表示擾動範圍的大小。很容易,宅男666网站可以計算出兩個方向的曲率半徑,進而根據Young-Laplace方程計算出流體內部各處的壓力(宅男666网站假定外壓為零):
在A點,,在B點,,那麽,宅男666网站可以得到:
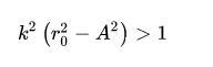
這就是擾動導致AB兩點的壓力差。根據上麵的討論,當它小於0的時候,水柱就是穩定的,也就是說:
請注意,理論上,當水柱穩定的時候,它是可以抗拒任意小的擾動的,也就是說,在宅男666网站取的極限時,水柱仍然穩定。所以說,宅男666网站就得到了水柱穩定的條件如下:
從這個條件看,水柱的半徑越細,就越難滿足穩定條件,進而它就更容易崩解。
而在水向下自由流動的過程中,由於重力作用,它是在加速的,也就是說,越往下它流動速度越快,自然就會導致其越往下水柱越細:
所以,這就回答了題主的問題:
從高處往下倒水,為什麽剛開始水是連成一條線,往下就成了散開的水珠?





