合作客戶/
拜耳公司 |
同濟大學 |
聯合大學 |
美國保潔 |
美國強生 |
瑞士羅氏 |
相關新聞Info
推薦新聞Info
-
> 不同礦漿濃度、粒度、伴生礦物、捕收劑和起泡劑對礦漿表麵張力的影響(三)
> 不同礦漿濃度、粒度、伴生礦物、捕收劑和起泡劑對礦漿表麵張力的影響(二)
> 不同礦漿濃度、粒度、伴生礦物、捕收劑和起泡劑對礦漿表麵張力的影響(一)
> 長慶油田隴東地區的CQZP-1助排劑表/界麵張力測量及現場應用(三)
> 長慶油田隴東地區的CQZP-1助排劑表/界麵張力測量及現場應用(二)
> 長慶油田隴東地區的CQZP-1助排劑表/界麵張力測量及現場應用(一)
> 液膜斷裂點與電壓最大值在表麵張力測量中的對比研究(二)
> 液膜斷裂點與電壓最大值在表麵張力測量中的對比研究(一)
> 表麵張力與表麵張力係數測量:概念、方法與科學意義
> 微重力下二極對非均勻旋轉磁場控製半浮區液橋表麵張力對流的數值研究(下)
不同幹燥方式對蛋清蛋白功能特性、溶解度、接觸角、表麵張力的影響(四)
來源:食品工業科技 瀏覽 428 次 發布時間:2025-10-28
2.8不同幹燥方式蛋清蛋白的表麵張力分析
表麵張力是液體自由表麵或兩種不相溶液體之間界麵上的一種拉力,與蛋白質的乳化性和起泡性息息相關。從圖6C可知,在2.0~10.0的pH範圍內EWP-P的表麵張力均大於EWP-D,這可能是EWP-D較高的溶解度影響了蛋白質在界麵的擴散速度所導致。在pH2.0時,EWP-P和EWP-D的表麵張力最大,分別為48.36±0.50和48.30±0.26 mN/m。隨著pH的增大EWP-P和EWP-D的表麵張力均先減小後增大,與溶解度(圖6A)的趨勢相似,這可能是因為在酸性條件下,卵清蛋白表麵的疏水基團會增加,從而降低了蛋白質分子在界麵上吸附的動力學障礙,所以EWP-P和EWP-D的表麵張力在酸性環境下更大。
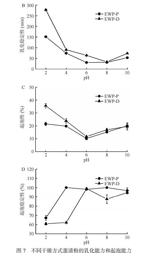
2.9乳化能力和起泡能力分析
蛋白質的溶解度和表麵張力等特性在決定其乳化能力等方麵起著重要作用。如圖7A,EWP-P和EWP-D的乳化性隨著pH的增高先減小後增大,與溶解度(圖6A)和表麵張力(圖6C)的趨勢一樣。pH為2.0時,兩者的乳化能力最好,其乳化性分別為5.98±0.04和6.25±0.02 m2/g,乳化穩定性分別為151.48和277.85 min。酸性環境下卵清蛋白表麵暴露了更多的疏水氨基酸和帶電基團,可以有效地幫助乳狀液體係的形成和物理穩定,因此在酸性環境下EWP-P和EWP-D的乳化性和乳化穩定性均更高。EWP-D的乳化性優於EWP-P,這是因為蛋白質的乳化性與其溶解度密切相關,溶解度較大,乳化性也相對較高。此外,卵清蛋白是一種典型的含糖鏈的球蛋白,其糖鏈具有較強的界麵吸附作用,有利於油水界麵的乳化。EWP-P在噴霧幹燥時的美拉德反應消耗了蛋清蛋白中的糖,故其乳化性較小。
圖7不同幹燥方式蛋清粉的乳化能力和起泡能力
泡沫的形成依賴於由蛋白質形成的界麵膜及其在懸浮液中保持氣泡和減緩聚結速率的能力,其中蛋白質的發泡能力和穩定性與蛋白與水相在界麵上的相互作用有關,受蛋白分子柔性、淨電荷、構象和疏水性的影響。蛋清蛋白在pH2.0~10.0條件下的起泡性如圖7C所示,EWP-D的起泡性優於EWP-P,這可能是由於EWP-D的溶解度較高,在起泡過程中蛋白能迅速展開,形成能同時連接水相溶劑與空氣界麵的兩性介質,而自身的帶電性又可產生一定的靜電排斥,使蛋白分子在空氣-水界麵上呈現規律性排列,而不會發生聚集。相比之下,EWP-P在高溫發生的美拉德反應會使蛋白形成更大的空間位阻,進而延緩了蛋白質在空氣/液體界麵的吸附。pH為6.0時,EWP-P和EWP-D的起泡性較低,分別是10.19%±1.01%和11.7%±0.66%,這是由於該pH下蛋白的溶解度和表麵張力較低,蛋白易發生聚集,故不易形成泡沫。
Dabbour等研究向日葵蛋白時也發現所有的蛋白樣品在pH6.0時的起泡性最低,且冷凍幹燥樣品的起泡性優於對流烘箱幹燥樣品。另一方麵,泡沫穩定性與蛋白膜的強度有關,蛋白質在攪打時,蛋白質分子被吸附在空氣-水界麵,蛋白質分子重新排列,使其疏水部分朝向氣相方向,這種變化容易引起巰基的氧化,在空氣-水界麵與相鄰的蛋白質分子中的巰基形成二硫鍵,從而增強界麵膜的強度,有利於泡沫穩定性。EWP-P的泡沫穩定性大於EWP-D,可能是因為噴霧幹燥可能導致更多的蛋白質展開,表麵遊離巰基含量較多。另一方麵可能是因為EWP-P發生了美拉德反應,在空氣-水界麵上可以形成的厚的粘彈性美拉德產物層,有利於泡沫穩定性的增加。Zeng等研究不同幹燥方式對雞皮膠原蛋白多肽時也發現噴霧幹燥使其蛋白樣品的泡沫穩定性優於冷凍幹燥樣品。
2.10不同幹燥方式蛋清蛋白的乳液微觀結構分析
EWP-P和EWP-D經高壓均質機均質0、1、2次後所得乳液的微觀結構如圖8所示。未高壓均質的蛋清蛋白乳液油滴大,且不均一,蛋白質容易從油水界麵解離出來,使小油滴聚集形成大油滴。均質1次後蛋清蛋白乳液的油滴尺寸減小,分散性提高,且未發生團聚現象,其原因可能是高壓均質後,蛋清蛋白乳液被高壓剪切力切割形成小分子,使蛋清蛋白粒徑減小,更多的蛋白質吸附至油-水界麵,為液滴間提供足夠的排斥力,從而阻止乳析的發生,使蛋清蛋白乳液的穩定性增強。均質2次後,兩者均出現了小程度的團聚現象,形成了較大的油滴,這可能是因為均質次數增多,體係出現了“過處理”效應,高壓使蛋清蛋白乳液的油滴變小,油滴之間的運動速率加快,增加了相互碰撞的次數,從而破壞界麵膜,導致油滴聚集。劉競男等研究高壓對大豆分離蛋白的影響時也發現隨著均質次數的增多,大豆分離蛋白的乳液體係出現了“過處理”效應,這被歸因為部分解離的大豆蛋白分子重新通過新的二硫鍵形成了聚集體。EWP-P的團聚現象比EWP-D的更明顯,可能是因為EWP-P的溶解度較低且表麵巰基含量較高,故更易於聚集。以上結果表明,EWP-D乳液的穩定性高於EWP-P,說明真空冷凍幹燥更有利於蛋清蛋白的乳液穩定。
圖8不同幹燥方式蛋清粉乳液的微觀結構(400×)
注:A.熒光倒置顯微鏡;B.激光掃描共聚焦顯微鏡,B圖中EWP標記為綠色,油相標記為紅色。
3.結論
蛋清蛋白經過不同幹燥方式幹燥後,其結構會發生變化,從而導致理化和功能特性不同。噴霧幹燥會使蛋清蛋白內部疏水基團和巰基暴露,同時還會與蛋清中的糖發生美拉德反應,最終使蛋白的溶解度、乳化性以及起泡能力下降,但其較高的表麵疏水性有利於維持泡沫的穩定。冷凍幹燥蛋清蛋白幹燥前後的結構變化較小,蛋白基本保持原有的空間構象。相較於噴霧幹燥蛋清蛋白,冷凍幹燥蛋清蛋白具有較大的比表麵積與溶解度,表麵張力更小,因此蛋白的乳化能力和起泡性更優。隨著冷凍幹燥技術與裝備的日益成熟,本研究的結果可為冷凍幹燥蛋清蛋白在新食品開發與加工中的應用提供理論參考。





