合作客戶/
拜耳公司 |
同濟大學 |
聯合大學 |
美國保潔 |
美國強生 |
瑞士羅氏 |
相關新聞Info
推薦新聞Info
-
> 影響狹縫間氫鍵流體氣液平衡界麵張力的因素有哪些(三)
> 影響狹縫間氫鍵流體氣液平衡界麵張力的因素有哪些(二)
> 影響狹縫間氫鍵流體氣液平衡界麵張力的因素有哪些(一)
> GA、WPI和T80複合乳液體係的脂肪消化動力學曲線、界麵張力變化(四)
> GA、WPI和T80複合乳液體係的脂肪消化動力學曲線、界麵張力變化(三)
> GA、WPI和T80複合乳液體係的脂肪消化動力學曲線、界麵張力變化(二)
> GA、WPI和T80複合乳液體係的脂肪消化動力學曲線、界麵張力變化(一)
> 表麵張力實驗、接觸角實驗分析抑塵試劑對煤的潤濕結果
> Kibron宅男视频在线网站研究燒結礦聚結行為
> 基於界麵張力和表麵張力測試評估商用UV油墨對不同承印紙張的表麵浸潤性差異(三)
合成脂質體類薑黃素納米粒子的自組裝——結果和討論
來源:上海宅男666网站 瀏覽 2100 次 發布時間:2021-11-18
三、結果和討論
圖1顯示了核殼顆粒組裝的SEM圖像。這清楚地顯示了直徑為158±5 nm的球形顆粒(粒徑的高斯分布在插圖A中給出),具有暗芯和淺電暈(插圖B)。典型的磁芯直徑約為100 nm,電暈寬度約為40 nm。通過光散射實驗確定了組件的直徑。光散射數據分析得出的直徑為100–200 nm,最大顆粒數的直徑為161±10 nm,這與從SEM數據獲得的尺寸一致(從DLS獲得的顆粒尺寸的高斯分布在ESI†圖S2中給出)。EDAX結果證實了粘土片在組件中的位置。圖2(A)和(B)顯示了給定結構在兩個不同位置(xP1和xP2)的能量色散分布。它們清楚地顯示了核心(xP1)內不存在矽(粘土結構中的主要元素之一),以及日冕(xP2)中矽的豐度。33,34這證實了粘土片被排除在這些結構的核心之外。因此,可以得出結論,核心是疏水的,主要含有薑黃素納米顆粒(薑黃素不溶於水),而外殼(電暈)具有自組裝血小板的傾向(LAPONITE®不溶於乙醇)。因此,宅男666网站有一個結構,其中的核心是一個有機相(乙醇)周圍的水暈。由於其溶解性偏好,薑黃素納米顆粒和LAPONITE®血小板分別優先位於有機相和水相。
圖1顯示由納米粘土(0.05%)和薑黃素納米顆粒形成的粘土小體組裝體的SEM圖像。插圖(A)顯示了粘粒的高斯粒度分布(從SEM圖像獲得)。發現大多數粘土體(核-殼)顆粒的直徑為158±5 nm。插圖(B)顯示了由納米粘土殼和殼厚度為40 nm的薑黃素納米顆粒核形成的單個粘土體。
圖2粘土體結構的EDAX光譜,描繪了電暈中納米粘土(含高百分比矽含量)和核心內薑黃素納米顆粒(不含矽含量)的存在。請注意,“x”表示EDAX測量點。
使用電泳法測量核殼薑黃素納米顆粒表麵的靜電電位(zeta電位)(圖3(A))。值得注意的是,薑黃素和納米粘土均受臨界平衡斥力的控製,而不考慮薑黃素和納米粘土在界麵處具有相同極性(負)的zeta電位。關於複雜係統中負責穩定性的不同力的更多細節將在後麵的章節中進行理論討論。此外,還測量了分散體的zeta電位,作為室溫下納米粘土濃度的函數。該電位隨著係統中納米粘土濃度的增加而增加(圖3(B))。最初,當納米粘土濃度較低時,電暈較薄,這有利於形成穩定的粘粒組裝體,這進一步得到較高zeta電位值的支持。隨著納米粘土濃度的增加,電暈尺寸增加(>100nm),zeta電位也發生了同樣的情況,這反過來又在複雜係統中產生了不穩定性。
圖3(A)描繪薑黃素、納米粘土和粘土小體的zeta電位的直方圖。插圖顯示了薑黃素在乙醇中的分散,納米粘土在水中的分散,以及由納米粘土在無水乙醇環境中穩定的薑黃素納米顆粒組裝而成的粘粒結構(顏色的變化(插圖中所示)清楚地表明了薑黃素和納米粘土之間的相互作用)。(B) 粘土小體組裝的zeta電位隨納米粘土濃度的變化。這清楚地表明了在較低濃度的納米粘土中組裝的穩定性。箭頭表示粘土成分。
圖4示意圖顯示了在電暈中存在納米粘土團和限製在疏水核內的疏水薑黃素納米顆粒的粘土體結構的形成。
3.1理論模型
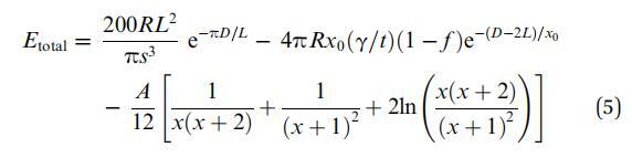
納米粘土和薑黃素納米顆粒的自組裝示意圖如圖4所示。自組裝的形成是複雜係統中不同作用力之間平衡的結果。係統的總能量Etotal是係統中的吸引能Ea和排斥能Er之和,由下式給出:
兩種平衡力在組裝的形成中起著重要作用:由兩種粒子之間的界麵力控製的疏水相互作用,以及納米粘土團簇和係統疏水環境之間的空間斥力。因此,複雜核-殼(粘土小體)組裝的總能量由以下三個貢獻的總和給出:相鄰納米粘土團簇之間的空間斥力(ESR)、9疏水力(Ehyd)、9和範德華力(Evand):34
這三項個人貢獻可以寫成:
因此,總相互作用能由下式給出:
式中,R是單個薑黃素納米顆粒的尺寸;a是薑黃素簇的大小(核心);L是粘土團(電暈)的尺寸;s是納米粘土簇之間的距離(或納米粘土簇的足跡直徑),如圖4所示;x0是疏水力的衰減長度;g是LAPONITE®和薑黃素混合體係中的界麵張力;t為核內疏水薑黃素和殼內水相中有機(醇)相形成的界麵區厚度;f定義係統中的疏水度,其中f¼1表示零疏水性,這意味著水的純溶劑,f¼0對應於具有最大疏水性的係統,這是指乙醇;A是Hamaker常數。34,35粘土體結構的給定自組裝僅在乙醇和水的1:1混合比下形成,因此f¼0.5,相應的界麵表麵張力(測量)為g¼40 mN m-1。通過SEM測量,薑黃素納米顆粒的大小及其簇大小分別為R¼50 nm和a¼150 nm。
3.2堆芯和外殼之間接口區域的作用
疏水核(有機)和親水殼(水)之間的界麵區域對穩定組裝的形成起著重要作用。它維持排斥能屏障,抵抗核心內存在的吸引疏水能。屏障抑製薑黃素納米顆粒的聚集,並支持所形成的粘土小體組裝(或核殼納米顆粒)的穩定性。該勢壘對電暈中納米粘土團簇的尺寸高度敏感。圖5(A)和6(A)顯示了總能量隨界麵區域厚度的變化。勢壘高度隨納米粘土團簇長度的增加而增加,隨足跡直徑的減小而減小。當L>80nm和s<30nm時,它變得高度排斥。
計算了粘粒結構(納米粘土-納米顆粒相互作用)之間的相互作用能,作為粒子間距離的函數。它顯示了深度極小值,如圖5(B)和6(B)所示。能量景觀中的極小值表示粘粒結構組裝的穩定性。某些粘土結構可能在與長程最小值相當的距離處形成鬆散的絮凝物,但這些絮凝物可能會重新分散。圖5(B)和6(B)顯示了複雜係統的能量隨納米粘土團簇(L和s)尺寸的變化。這清楚地表明,極小值的深度隨著納米粘土團簇(L)長度的增加而減小。當L<40 nm時,能量具有高度吸引力,因此形成排斥勢壘(電暈)所需的納米粘土團簇的最小長度為40 nm。當L>80nm時,能量變得高度排斥,沒有極小值。因此,隻有當納米粘土片形成尺寸為40
圖5納米粘土簇的長度對粘土小體組裝的影響。(A) 作為界麵區域厚度函數的能量變化(s¼60 nm;T¼298 K,f¼0.5;薑黃素納米顆粒半徑R¼50 nm,疏水衰減長度x0¼1 nm,界麵張力¼40 mN m-1)。(B) 粘粒–粘粒相互作用作為粒間分離D的函數,使用方程(5)計算。當存在大的納米粘土團簇時,能量最小值的深度減小,當L>80nm時,能量變得完全排斥。





